Công ty Cổ phần Phát triển Đô thị Từ Liêm (NTL) đã công bố báo cáo quý 3/2025 ghi nhận doanh thu thuần gần 4 tỷ đồng, tăng 4% so với quý 3/2024. Tuy nhiên, giá vốn bán hàng tăng cao 65% lên hơn 4 tỷ đồng dẫn đến lợi nhuận gộp trong quý 3/2025 âm gần 629 triệu đồng.
Nhờ lãi tiền gửi ngân hàng và các khoản đầu tư chứng khoán, doanh thu tài chính tăng cao lên gần 58 tỷ đồng, gấp 3,8 lần cùng kỳ năm 2024. Kết quả, NTL lãi sau thuế gần 13 tỷ đồng, gấp 3 lần so với cùng kỳ.
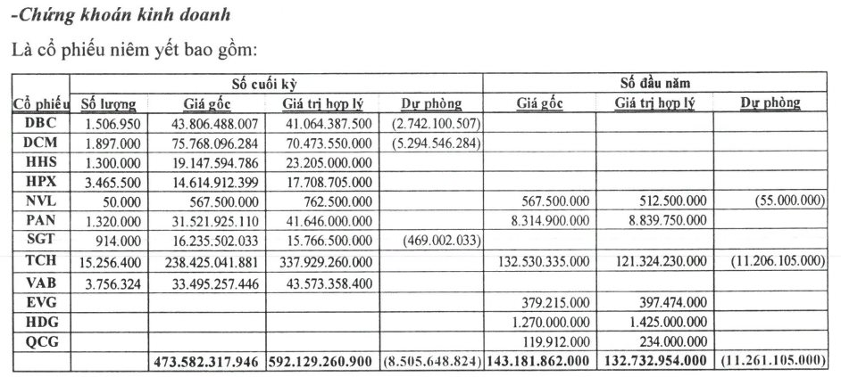
Tại ngày 30/9, NTL đang dành gần 474 tỷ đồng để đầu tư chứng khoán, gấp 3 lần so với hồi đầu năm. NTL đang đầu tư vào các cổ phiếu DBC, DCM, HHS, HPX, NVL, PAN, SGT, TCH, VAB. Giá trị hợp lý của các cổ phiếu này tại cuối tháng 9 là hơn 592 tỷ đồng.
Lũy kế 9 tháng đầu năm, doanh thu thuần NTL đạt hơn 13 tỷ đồng, giảm sâu 99% so với cùng kỳ năm 2024 hơn 1.420 tỷ đồng . Lợi nhuận sau thuế cũng giảm mạnh 97%, còn hơn 20,5 tỷ.
Tại ngày 30/9/2025, tổng tài sản của NTL đạt 1.978 tỷ đồng, giảm 9% so với đầu năm. Tổng nợ phải trả là 243 tỷ, giảm 42%.
Nguồn: https://cafef.vn/danh-hon-470-ty-dong-de-dau-tu-co-phieu-tch-dcm-dbc-mot-cong-ty-bat-dong-san-lai-gap-3-lan-cung-ky-du-kinh-doanh-duoi-gia-von-188251026075335534.chn
